
《行动计划》指出,2016-2018年,拟重点推进铁路、公路、水路、机场、城市轨道交通项目303项,涉及项目总投资约4.7万亿元,其中2016、2017、2018年分别为2.1万亿、1.3万亿和1.3万亿元。
“十三五”刚开局,国内投资便“重金”砸向了交通基础设施建设,这对于工程行业来说可谓一大喜讯。
本次交通基建投资项目的密集出台,工程行业再次面临利好。

虽然行业在短期内可能还无法实现显著回升,但在基建热潮的推动下,回暖增长的期望依旧很大。
工程企业静待利好来袭的同时,更在积极转型,调模式促升级,为“回暖”的到来做着积极准备。
问题:为何要实行三年行动计划
投资一直是稳定拉动我国经济增长的重要方式。
而交通基础设施的投资,更是投资中的重中之重。
大处看,它是国家实施宏观调控、精准施策的重要抓手;小处着眼,它是事关老百姓出行的重要民生项目。
《行动计划》指出,近年来,我国交通基础设施网络不断完善,能力逐步提升,在促投资、调结构、稳增长方面发挥了明显作用,成为国家实施宏观调控、精准施策的重要抓手。

但是,与经济社会发展需求相比,交通基础设施在网络密度、覆盖范围、质量水平等方面还存在较大差距,重大工程前期工作滞后,项目储备不足的问题仍然比较突出。
在当前和今后一个时期,亟须加快实施一批现实需求紧迫、基础条件成熟、有利于长远发展的交通重大工程,提升网络整体能力,保持较高建设强度和投资增速。
亮点:轨道交通成大市场
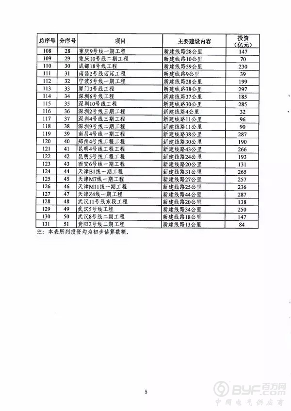
本次推出的《行动计划》涵盖了铁路、公路、水路、机场、轨道交通共303个项目,其中城市轨交是最大亮点,正在迎来密集开工。

未来3年城市轨交新开工项目数分别为51、33、19个(2015年新开工23个),新开工里程1274、695、416 公里,涉及总投资9098亿、4804亿、2576亿元(2016年新开工爆发式增长,主要由于部分原定于2015年开工的项目未能按时开工,而部分原定于2017年开工的项目提前至2016年),合计16478亿元。
考虑到目前在建项目未完工投资额约1.2万亿元,未来3年投资仍有望保持高速增长势头。
铁路、公路、机场、水路等投资规模符合预期。

铁路方面,投资重点集中在高铁、中西部铁路和城际铁路上,2016年重点推进项目34个,涉及总投资7803亿元,其中31个项目包含在中国铁路总公司2016年计划新开工的45 个项目中(总投资8300 亿元);2017、2018年重点推进项目29、23个,涉及总投资4946亿、6994亿元。
公路方面,投资重点集中在高速公路,未来3年重点推进项目27、14、13个,涉及总投资2449亿、1309亿、2000亿元。机场方面,未来3年重点推进项目16、12、22 个,涉及总投资1745亿、1198亿、1664亿元。水路方面,未来3年重点推进项目3、4、3个,涉及总投资39亿、53亿、54亿元。
其中2016年,重点推进141个重大项目前期工作,其中铁路34个、公路水路40个、机场16个、城市轨道交通51个。
随着《三年计划》的出台,各省市已经开始积极着手各项目的开展工作。





















